BLISS-LN post hoc解析

全身性エリテマトーデス

BLISS-LN trialの、Post hoc解析を紹介します。(BLISS-LNについてはリンクを参照してください)

  • Post hoc解析のまとめ
    • 新規診断・再発での違い Nephrol Dial Transplant. 2023 Nov 30;38(12):2733-2742. 
      • 再発例のみで104週時点でのPERR・CRRは有意に改善した
      • 104週での腎関連イベント・死亡は、両群関係なく改善
      • 再発までの期間も、両群関係なく改善
      • (両群の比較はされていない)
    • 初回のステロイドパルス実施による違い Nephrol Dial Transplant. 2023 Nov 30;38(12):2733-2742. 
      • パルス実施群のみで104週時点でのPERR・CRRは有意に改善した
      • 104週での腎関連イベント・死亡は、両群関係なく改善
      • 再発までの期間は、パルス実施例のみで有意に改善(非実施例でも有意ではないが改善)
      • (両群の比較はされていない)
    • ベースの腎病理Classによる違い Kidney International (2022) 101, 403–413
      • 増殖性組織学的成分を有する患者(ⅢまたはⅣを含む患者)ではPERRおよびCRRは増加するが、Class Vの患者では限定的だった。
      • ただし、Class V患者においても、腎関連イベント・死亡、再発までの期間は改善している傾向が,認められた。
        • Class V群は数が少ないためのと言う可能性はある
    • ベースの尿蛋白による違い Kidney International (2022) 101, 403–413
      • 104週時のPERR・CRRはベースラインuPCR <3 g/gの患者でプラセボに対してベリムマブで有意に達成されたが、ベースラインuPCR ≧3 g/gでは有意差がなかった
      • ベースのタンパク尿の程度に関わらず、ベリムマブ群の腎関連イベントまたは死亡のリスク低減効果が示された
      • ベースのタンパク尿の程度に関わらず、研究中のいずれかの時点でeGFR 30%または40%低下に達するリスクは、ベリムマブ治療患者で減少した
    • ベースの治療による違い Kidney International (2022) 101, 403–413
      • BLISS-LNでは、PERR・CRRのみがサブグループ解析に記載されていたが、腎関連イベントまたは死亡・再燃の抑制について評価した。
      • いずれのアウトカムも、IVCY-AZA群・MMF群でベリムマブの効果があることが示された

新規診断・再発での解析

Nephrol Dial Transplant. 2023 Nov 30;38(12):2733-2742.

  • 新規診断・再発群 による解析
    • 「新規診断ループス腎炎(LN)」は初回の腎生検で確定した初発のLN
    • 「再発LN」は再生検で確認された2回目以降の活動性LNと定義

評価項目

  • 主要評価項目(104週時点での有効腎反応=PERR)
  • 104週でのCRR=完全腎反応
  • 104週時点までの腎関連イベントまたは死亡に至る時間
  • 24週以降の初回再燃までの時間

解析方法

  • ロジスティック回帰で解析し、治療群、導入レジメン(CYC vs MMF)、人種(黒人アフリカ系 vs その他)、ベースラインUPCR、ベースラインeGFRを共変量として、サブグループ内でのベリムマブ対プラセボのORと95%CIを算出
  • 治験薬中止、試験離脱、治療失敗は非反応として扱った
  • 新規発症例・再発例間での比較は実施していない
  • そのため、各群において、ベリムマブがどのように予後に効果を与えるかは評価できるが、新規発症例・再発例を比較して、どちらの群に効果がある、ということはできない

患者層

  • 基本的にベースラインに大きな差はない(一部、平均GC使用量が異なるが,その理由は不明)
  • 一般的な試験では、新規と再発例では治療抵抗性であることが多く、より腎病変が進行していることが多いため、この点は特徴的

結果

  • 104週時点での、PERR・CRR達成率
    • 新規診断例においては、PERR・CRRいずれも有意差を示さなかった
    • 再発例においては、PERR・CRRいずれも有意に改善した
  • 104週時点までの腎関連イベントまたは死亡に至る時間
    • 104週までの腎関連イベントまたは死亡リスクは、新規診断群でHR 0.55(95%CI 0.33–0.93)、再発群でHR 0.47(0.23–0.95)と、いずれもベリムマブで低下
  • 24週以降の初回再発までの時間
    • 24〜104週の再発リスクは、新規診断群でHR 0.51(0.28–0.92)、再発群でHR 0.45(0.21–0.96)と、いずれもベリムマブ群で低下した

Discussion

  • ループス腎炎(LN)の新規診断例と再発例のいずれにおいても、ベリムマブ投与群ではプラセボ群に比べて週104時点でPERRまたはCRRを達成した患者の割合が高かった
    • この所見は、BLISS-LN全体集団での既報と一致する
  • 腎関連イベントまたは死亡に至る時間、および週24以降の初回LNフレアまでの時間という評価項目についても、同様の所見が得られた。
    • 再発LNにおける改善は注目に値する。
    • 再発の集団は一般に新規診断の患者より治療抵抗性であり、加えて再発例では慢性腎病変がより進行していると広くみなされており、これが本研究で設定したいずれの評価項目の達成を妨げうるためである。
  • 本文では明言はされていないが、新規発症例では、なぜかPrimary endpointは有意に満たさない(再発ではみたす)
  • ただ腎関連イベント・死亡・再発リスクの低下の効果は、新規と再発では違いがなかった
  • 本研究では、新規・再発間での比較は統計的処理を実施していないため、無意味である。ただいずれの群においても求める効果があるとはいえるだろう

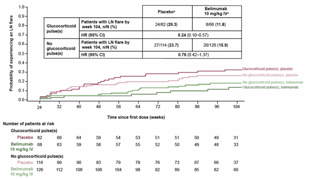
導入時のステロイドパルスの有無 による解析

Nephrol Dial Transplant. 2023 Nov 30;38(12):2733-2742.  

新規・再発によって解析と同論文のため、同様の項目は省略して記載します

患者層

  • 基本的にベースラインに大きな差はない(一部、平均GC使用量が異なるが,その理由は不明)
  • GCパルスありでは標準療法としてCYCを受けた割合が高く、地域差(欧州でパルスありが多い、米国/カナダではなしが多い)もみられた。GCパルスありはeGFR平均がやや低かった。
  • 解析を実施していないため有意差については評価できない

結果

  • 104週時点での、PERR・CRR達成率
    • パルス実施例においては、PERR・CRRいずれも有意差を示さなかった
    • パルス非実施例においては、PERR・CRRいずれも有意に改善した
  • 104週時点までの腎関連イベントまたは死亡に至る時間
    • 104週までの腎関連イベントまたは死亡リスクは、GCパルスあり群でHR 0.42(0.21–0.83)、なし群でHR 0.55(0.32–0.94)と、いずれもベリムマブで低下。
  • 24週以降の初回再発までの時間
    • GCパルスあり群ではベリムマブで76%低下(HR 0.24[0.10–0.57])、なし群では24%低下(HR 0.76[0.42–1.37])
    • パルスなし群では有意差がつかなかった。

Discussion

  • 両治療群で、導入期にGCパルスを受けなかった患者の方がPERR/CRR到達割合は高く、観察された差はベリムマブに有利だった。
    • 最初の6か月の平均GC総用量(経口+静注)は群間で同程度だったため、この所見はGC曝露量の違いでは説明しにくいと考えられる。
    • GCパルスを受けた患者の方が腎疾患活動性/重症度が高く、ベリムマブの反応性が低かった可能性がある。
    • 今後の試験では、組織学的活動度・慢性度を考慮した設計が望まれる。
  • 国・地域の臨床慣行の違いによるGCパルス実施率のばらつきや、CYCレジメンではパルス併用が多く、MMFでは少ない傾向も観察されている
  • ステロイドパルスを実施したにもかかわらず、ステロイド投与総量が変わらないということは、ステロイド投与後の減量が早いことが示唆される
    • 減量が早いことが何らかの影響を与えている可能性はあるか。
  • 本研究では、新規・再発間での比較は統計的処理を実施していないため、無意味である。ただいずれの群においても求める効果があるとはいえるだろう

ベースの腎病理のClassによる解析

Kidney International (2022) 101, 403–413

患者層

  • クラスIIIまたはIV: 258例(57.8%)
    • プラセボ群: 132例
    • ベリムマブ群: 126例
  • クラスIII+VまたはIV+V: 116例(26.0%)
    • プラセボ群: 55例
    • ベリムマブ群: 61例
  • 純粋なクラスV: 72例(16.1%)
    • プラセボ群: 36例
    • ベリムマブ群: 36例

クラス別の平均ベースラインuPCR:

  • クラスIIIまたはIV: 3.38 g/g
  • クラスIII+VまたはIV+V: 3.42 g/g
  • 純粋なクラスV: 3.22 g/g

結果

  • 104週時点での、PERR・CRR
    • PERRでの、Class Ⅲ or Ⅳのみで有意差に改善。
    • Class Vにおいては、有意ではないが、ベリムマブ群でプラセボが優れる数値だった。
  • 腎関連イベントまたは死亡までの時間
    • Class Ⅲ or Ⅳのみで有意差に改善。
  • 24週からの104週までの再燃までの時間
    • Class Ⅲ or Ⅳのみで有意差に改善だが、いずれもベリムマブがよい傾向にある

Dicsussion

  • 全体のPERRおよびCRRの増加は、主に増殖性組織学的成分を有する患者(ⅢまたはⅣを含む患者)によるものであることが示唆された
  • 腎関連イベントまたは死亡のリスク低減および再燃予防においても、全体集団の結果と方向性が一致しており、各サブグループにおけるベリムマブの好ましい効果が示唆された
  • 純粋なクラスV LN患者では、PERRまたはCRRについて標準治療とベリムマブの間で観察された治療差はなかった
  • 重要なこととして、純粋なクラスV LN患者における腎関連イベントまたは死亡のリスク低減および再燃予防に対するベリムマブ治療の好ましい効果が観察され、他のLNクラスにおける結果と一致していた

ベースの尿蛋白による解析

Kidney International (2022) 101, 403–413

患者層

ベースライン蛋白尿レベルの分布:

スクリーニング時のuPCR:

  • 全体平均: 4.1 (3.3) g/g
  • ≥3 g/g: 236例 (52.9%)
    • プラセボ群: 117例 (52.5%)
    • ベリムマブ群: 119例 (53.4%)

ベースライン時のuPCR:

  • 全体平均: 3.4 (3.2) g/g
  • ≥3 g/g: 183例 (41.0%)
    • プラセボ群: 92例 (41.3%)
    • ベリムマブ群: 91例 (40.8%)
  • <3 g/g: 263例 (59.0%)
    • プラセボ群: 131例 (58.7%)
    • ベリムマブ群: 132例 (59.2%)

  • 試験全体のInclusion criteriaは以下(抜粋、詳細はBLISS-LN)
  • ベースライン6ヶ月以内に生検で証明された活動性ループス腎炎
    • 2003 ISN/RPS criteria:クラスIIIまたはⅣ(Class III(C), IV-S(C) and IV-G(C)は除外)(クラスVの併存の有無を問わない)
    • 2003 ISN/RPS criteria:純粋なクラスV
  • 活動性があり、高用量ステロイドとIVCYまたはMMFによる寛解導入を必要とする
    • 蛋白尿(gCre比≧1.0 + 以下の1つ)
      • 赤血球(RBC)5個/高倍率視野(hpf)以上または検査室基準範囲を超える
      • 白血球(WBC)5個/高倍率視野(hpf)超(または検査室基準範囲を超える)
      • 細胞性円柱(赤血球または白血球)の存在
    • ただし以下の場合には活動性はなくてもよい
      • ベースライン前3ヶ月以内の腎生検でクライテリアを満たす
      • 蛋白尿3.5g/day以上
  • 現在臨床で使用されることの多い2019年EULAR/ACR基準ではANA80倍以上が必須だが、本研究では必ずしも陽性でなくてよい

結果

タンパク尿のLow・Highの区別は、3g/dayとしている

タンパク尿は、ベースライン(組み入れ時)の値で分類している

  • タンパク尿別の104週時のPERR・CRR
    • タンパク尿が3g以下の群では、有意にPERR・CRR達成率が高い
  • 腎関連イベントまたは死亡までの時間
    • 両群とも同等の結果
  • 24週からの104週までの再燃までの時間
    • 解析が実施されていない
  • eGFRが、ベースラインから 30・40%低下するまでの時間
  • 104週時点でeGFRが、ベースラインから 30・40%低下していた割合

  • 解析はされているが、図にはベースラインのタンパク尿別の記載はされていない。
  • 実際に投与された患者のみのデータ(On-treatment)・投与されているかどうかにかかわらず研究に登録されている患者すべてのデータ(On-study)が両方記載されている。
    • この理由について論文中では明確に記載されていない

Dicsussion

  • 104週時のPERR・CRRはベースラインuPCR <3 g/gの患者でプラセボに対してベリムマブで有意に達成されたが、ベースラインuPCR ≧3 g/gでは有意差がなかった
  • ベースのタンパク尿の程度に関わらず、ベリムマブ群の腎関連イベントまたは死亡のリスク低減効果が示された
  • ベースのタンパク尿の程度に関わらず、研究中のいずれかの時点でeGFR 30%または40%低下に達するリスクは、ベリムマブ治療患者で減少した
  • タンパク尿が多い場合、尿中に排泄されるベリムマブの量が増加するため、効果が乏しいとも考えられたが、血中濃度と効果の関係は認められなかった。

  • 腎関連イベントまたは死亡のリスク低減効果・eGFRの低下リスクを改善する効果を認めた理由
    • PERR・CRRの定義であるタンパク尿の基準が厳しすぎる可能性がある
    • ある研究で、1年間の治療後に蛋白尿レベルが0.7-0.8 g/日に達した場合、長期的な腎アウトカムが良好であることを示したため、PERRはそのような定義になっているが、これを達成しないと予後不良かというと必ずしもそうではない
      • ある研究として以下が述べられている
      • Arthritis Rheumatol. 2015;67:1305-1313.
      • Lupus Sci Med. 2015;2:e000123.
      • Lupus Sci Med. 2017;4:e000213.
    • 1年間の治療後にこのレベルへの蛋白尿の減少を実現しなかった多くの患者は、依然として良好な長期腎アウトカムを示している
    • 腎損傷の改善は、タンパク尿の改善のみによって反映されるわけではない。逆もしかりで、タンパク尿の改善のみによって腎損傷の改善が評価できるわけではない。

標準治療による解析

Kidney International (2022) 101, 403–413

BLISS-LNでは標準治療として以下が使用できる(抜粋)

  • 標準導入療法(研究者により選択、1日目の60日前以内に開始):
    • 静注シクロホスファミド(500 mg、2週間ごと[±3日]、6回投与)または
    • ミコフェノール酸モフェチル(目標用量3 g/日)
  • 維持療法:
    • シクロホスファミド-アザチオプリン群:最終シクロホスファミド投与2週間後にアザチオプリン開始(目標用量2 mg/kg/日、≤200 mg/日)
    • ミコフェノール酸モフェチル群:1~3 g/日(6ヶ月後は1 g/日に減量可能)
  • 高用量グルココルチコイド
    • メチルプレドニゾロン静注1~3パルス[各500~1000 mg])を導入時に投与可能
    • その後、経口プレドニゾン(0.5~1.0 mg/kg/日、総1日量 ≤60 mg)
    • 24週までにグルココルチコイドを1日10 mg以下に漸減
    • 24週から104週まで1日10 mgを超えてはならない
      • ただし、24週から76週の間に、ループス腎炎以外の理由でプロトコルが許可する短期救済治療は例外
    • 76週から104週の間はグルココルチコイド救済治療は一切許可されない

患者層

標準治療レジメンの分布:

  • CYC/AZA: 118例(26.5%)
    • プラセボ群: 59例
    • ベリムマブ群: 59例
  • MMF: 328例(73.5%)
    • プラセボ群: 164例
    • ベリムマブ群: 164例

結果

  • PERR・CRRについては、BLISS-LNのサブグループ解析で記載済み

  • 腎関連イベントまたは死亡までの時間
  • 24週からの104週までの再燃までの時間

Discussion

  • CYC/AZA群とMMF群の両方で、ベリムマブの好ましい効果が示唆された
  • MMF群の方がサンプルサイズが大きく、信頼区間が狭い
  • 標準治療レジメン間の直接比較はされていないため、CYC/AZAとMMFでベリムマブの効果に統計学的な差があるとは言えない。

コメント

タイトルとURLをコピーしました